IGF2BP1 Recombinant Rabbit Monoclonal Antibody [PSH06-37]
cat.: HA722671
Product Type: Recombinant Rabbit monoclonal IgG, primary antibodies
Species reactivity: Human
Applications: WB, IF-Cell, FC
Clonality: Monoclonal
Clone number: PSH06-37
Form: Liquid
Storage condition: Shipped at 4℃. Store at +4℃ short term (1-2 weeks). It is recommended to aliquot into single-use upon delivery. Store at -20℃ long term.
Storage buffer: PBS (pH7.4), 0.1% BSA, 40% Glycerol. Preservative: 0.05% Sodium Azide.
Concentration: 1ug/ul
Purification: Protein A affinity purified.
Molecular weight: Predicted band size: 63 kDa
Isotype: IgG
Immunogen: Synthetic peptide within human IGF2BP1 aa 528-577.
Positive control: HepG2 cell lysate, Caco-2 cell lysate, K-562 cell lysate, 293T cell lysate, Caco-2.
Subcellular location: Nucleus, Cytoplasm.
Recommended Dilutions:
  WB
  IF-Cell
  FC

1:2,000
1:100
1:1,000
Uniprot #: SwissProt: Q9NZI8 Human
Alternative names: Coding region determinant-binding protein CRD BP CRD-BP CRDBP IF2B1 IF2B1_HUMAN IGF II mRNA binding protein 1 IGF-II mRNA-binding protein 1 IGF2 mRNA binding protein 1 IGF2 mRNA-binding protein 1 IGF2BP1 IMP 1 IMP-1 IMP1 Insulin like growth factor 2 mRNA binding protein 1 Insulin-like growth factor 2 mRNA-binding protein 1 VICKZ family member 1 VICKZ1 ZBP 1 ZBP-1 ZBP1 Zip code binding protein 1 Zip code-binding protein 1 Zipcode binding protein 1 Zipcode-binding protein 1
Images
HA722671_1.jpg Fig1: Western blot analysis of IGF2BP1 on different lysates with Rabbit anti-IGF2BP1 antibody (HA722671) at 1/2,000 dilution.

Lane 1: HepG2 cell lysate
Lane 2: Caco-2 cell lysate
Lane 3: K-562 cell lysate
Lane 4: 293T cell lysate
Lane 5: MCF7 cell lysate (negative)

Lysates/proteins at 20 µg/Lane.

Predicted band size: 63 kDa
Observed band size: 63 kDa

Exposure time: 2 minutes 10 seconds; ECL: K1802;

4-20% SDS-PAGE gel.

Proteins were transferred to a PVDF membrane and blocked with 5% NFDM/TBST for 1 hour at room temperature. The primary antibody (HA722671) at 1/2,000 dilution was used in 5% NFDM/TBST at 4℃ overnight. Goat Anti-Rabbit IgG - HRP Secondary Antibody (HA1001) at 1/50,000 dilution was used for 1 hour at room temperature.
HA722671_2.jpg Fig2: Immunocytochemistry analysis of Caco-2 (positive) and MCF7 (negative) labeling IGF2BP1 with Rabbit anti-IGF2BP1 antibody (HA722671) at 1/100 dilution.

Cells were fixed in 4% paraformaldehyde for 20 minutes at room temperature, permeabilized with 0.1% Triton X-100 in PBS for 5 minutes at room temperature, then blocked with 1% BSA in 10% negative goat serum for 1 hour at room temperature. Cells were then incubated with Rabbit anti-IGF2BP1 antibody (HA722671) at 1/100 dilution in 1% BSA in PBST overnight at 4 ℃. Goat Anti-Rabbit IgG H&L (iFluor™ 488, HA1121) was used as the secondary antibody at 1/1,000 dilution. PBS instead of the primary antibody was used as the secondary antibody only control. Nuclear DNA was labelled in blue with DAPI.

Beta tubulin (M1305-2, red) was stained at 1/100 dilution overnight at +4℃. Goat Anti-Mouse IgG H&L (iFluor™ 594, HA1126) was used as the secondary antibody at 1/1,000 dilution.
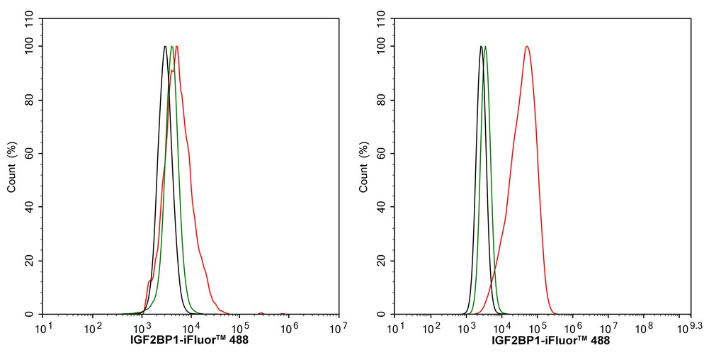
HA722671_3.jpg Fig3: Flow cytometric analysis of MCF7 (left, negative) and Caco-2 (right, positive) cells labeling IGF2BP1.

Cells were washed twice with cold PBS and resuspend. Then stained with the primary antibody (HA722671, 1/1,000) (red) compared with Rabbit IgG Isotype Control (green). After incubation of the primary antibody at +4℃ for an hour, the cells were stained with a iFluor™ 488 conjugate-Goat anti-Rabbit IgG Secondary antibody (HA1121) at 1/1,000 dilution for 30 minutes at +4℃. Unlabelled sample was used as a control (cells without incubation with primary antibody; black).
Note: All products are “FOR RESEARCH USE ONLY AND ARE NOT INTENDED FOR DIAGNOSTIC OR THERAPEUTIC USE”.