PAX5 Recombinant Rabbit Monoclonal Antibody [PSH06-99]
cat.: HA722777
Product Type: Recombinant Rabbit monoclonal IgG, primary antibodies
Species reactivity: Human, Mouse, Rat
Applications: WB, IF-Cell, IHC-P, IF-Tissue, FC
Clonality: Monoclonal
Clone number: PSH06-99
Form: Liquid
Storage condition: Shipped at 4℃. Store at +4℃ short term (1-2 weeks). It is recommended to aliquot into single-use upon delivery. Store at -20℃ long term.
Storage buffer: PBS (pH7.4), 0.1% BSA, 40% Glycerol. Preservative: 0.05% Sodium Azide.
Concentration: 1ug/ul
Purification: Protein A affinity purified.
Molecular weight: Predicted band size: 42 kDa
Isotype: IgG
Immunogen: Recombinant protein within human PAX5 aa 101-391.
Positive control: Daudi cell lysate, Raji cell lysate, A20 cell lysate, Daudi, human appendix tissue, human B cell lymphoma tissue, human tonsil tissue, mouse spleen tissue, rat spleen tissue, A20.
Subcellular location: Nucleus.
Recommended Dilutions:
  WB
  IF-Cell
  IHC-P
  IF-Tissue
  FC

1:5,000
1:100
1:2,000
1:200-1:400
1:1,000
Uniprot #: SwissProt: Q02548 Human | Q02650 Mouse
Entrez Gene: 500453 Rat
Alternative names: B cell lineage specific activator B cell lineage specific activator protein B cell specific activator protein B cell specific transcription factor B-cell-specific transcription factor BSAP EBB-1 KLP Paired box 5 Paired box gene 5 (B cell lineage specific activator protein) Paired box gene 5 (B cell lineage specific activator) Paired box gene 5 Paired box homeotic gene 5 Paired box protein Pax 5 Paired box protein Pax-5 Paired domain gene 5 PAX 5 PAX5 PAX5_HUMAN Transcription factor PAX 5
Images
HA722777_1.jpg Fig1: Western blot analysis of PAX5 on different lysates with Rabbit anti-PAX5 antibody (HA722777) at 1/5,000 dilution.

Lane 1: Daudi cell lysate
Lane 2: Raji cell lysate
Lane 3: A20 cell lysate
Lane 4: CTLL-2 cell lysate (negative)

Lysates/proteins at 20 µg/Lane.

Predicted band size: 42 kDa
Observed band size: 45 kDa

Exposure time: 15 seconds; ECL: K1801;

4-20% SDS-PAGE gel.

Proteins were transferred to a PVDF membrane and blocked with 5% NFDM/TBST for 1 hour at room temperature. The primary antibody (HA722777) at 1/5,000 dilution was used in 5% NFDM/TBST at 4℃ overnight. Goat Anti-Rabbit IgG - HRP Secondary Antibody (HA1001) at 1/50,000 dilution was used for 1 hour at room temperature.
HA722777_2.jpg Fig2: Immunocytochemistry analysis of Daudi (positive) and Jurkat (negative) labeling PAX5 with Rabbit anti-PAX5 antibody (HA722777) at 1/100 dilution.

Cells were fixed in 4% paraformaldehyde for 20 minutes at room temperature, permeabilized with 0.1% Triton X-100 in PBS for 5 minutes at room temperature, then blocked with 1% BSA in 10% negative goat serum for 1 hour at room temperature. Cells were then incubated with Rabbit anti-PAX5 antibody (HA722777) at 1/100 dilution in 1% BSA in PBST overnight at 4 ℃. Goat Anti-Rabbit IgG H&L (iFluor™ 488, HA1121) was used as the secondary antibody at 1/1,000 dilution. PBS instead of the primary antibody was used as the secondary antibody only control. Nuclear DNA was labelled in blue with DAPI.

Beta tubulin (M1305-2, red) was stained at 1/100 dilution overnight at +4℃. Goat Anti-Mouse IgG H&L (iFluor™ 594, HA1126) was used as the secondary antibody at 1/1,000 dilution.
HA722777_3.jpg Fig3: Immunohistochemical analysis of paraffin-embedded human appendix tissue with Rabbit anti-PAX5 antibody (HA722777) at 1/2,000 dilution.

The section was pre-treated using heat mediated antigen retrieval with sodium citrate buffer (pH 6.0) (high pressure) for 2 minutes. The tissues were blocked in 1% BSA for 20 minutes at room temperature, washed with ddH2O and PBS, and then probed with the primary antibody (HA722777) at 1/2,000 dilution for 1 hour at room temperature. The detection was performed using an HRP conjugated compact polymer system. DAB was used as the chromogen. Tissues were counterstained with hematoxylin and mounted with DPX.
HA722777_4.jpg Fig4: Immunohistochemical analysis of paraffin-embedded human B cell lymphoma tissue with Rabbit anti-PAX5 antibody (HA722777) at 1/2,000 dilution.

The section was pre-treated using heat mediated antigen retrieval with sodium citrate buffer (pH 6.0) (high pressure) for 2 minutes. The tissues were blocked in 1% BSA for 20 minutes at room temperature, washed with ddH2O and PBS, and then probed with the primary antibody (HA722777) at 1/2,000 dilution for 1 hour at room temperature. The detection was performed using an HRP conjugated compact polymer system. DAB was used as the chromogen. Tissues were counterstained with hematoxylin and mounted with DPX.
HA722777_5.jpg Fig5: Immunohistochemical analysis of paraffin embedded human tonsil tissue using anti-PAX5 antibody (1/2,000) performed on the Leica® BOND™ RX.
HA722777_6.jpg Fig6: Immunohistochemical analysis of paraffin-embedded human tonsil tissue with Rabbit anti-PAX5 antibody (HA722777) at 1/2,000 dilution.

The section was pre-treated using heat mediated antigen retrieval with sodium citrate buffer (pH 6.0) (high pressure) for 2 minutes. The tissues were blocked in 1% BSA for 20 minutes at room temperature, washed with ddH2O and PBS, and then probed with the primary antibody (HA722777) at 1/2,000 dilution for 1 hour at room temperature. The detection was performed using an HRP conjugated compact polymer system. DAB was used as the chromogen. Tissues were counterstained with hematoxylin and mounted with DPX.
HA722777_7.jpg Fig7: Immunohistochemical analysis of paraffin-embedded mouse spleen tissue with Rabbit anti-PAX5 antibody (HA722777) at 1/2,000 dilution.

The section was pre-treated using heat mediated antigen retrieval with sodium citrate buffer (pH 6.0) (high pressure) for 2 minutes. The tissues were blocked in 1% BSA for 20 minutes at room temperature, washed with ddH2O and PBS, and then probed with the primary antibody (HA722777) at 1/2,000 dilution for 1 hour at room temperature. The detection was performed using an HRP conjugated compact polymer system. DAB was used as the chromogen. Tissues were counterstained with hematoxylin and mounted with DPX.
HA722777_8.jpg Fig8: Immunohistochemical analysis of paraffin-embedded rat spleen tissue with Rabbit anti-PAX5 antibody (HA722777) at 1/2,000 dilution.

The section was pre-treated using heat mediated antigen retrieval with sodium citrate buffer (pH 6.0) (high pressure) for 2 minutes. The tissues were blocked in 1% BSA for 20 minutes at room temperature, washed with ddH2O and PBS, and then probed with the primary antibody (HA722777) at 1/2,000 dilution for 1 hour at room temperature. The detection was performed using an HRP conjugated compact polymer system. DAB was used as the chromogen. Tissues were counterstained with hematoxylin and mounted with DPX.
HA722777_9.jpg Fig9: Immunohistochemical analysis of paraffin-embedded human kidney tissue (negative) with Rabbit anti-PAX5 antibody (HA722777) at 1/2,000 dilution.

The section was pre-treated using heat mediated antigen retrieval with sodium citrate buffer (pH 6.0) (high pressure) for 2 minutes. The tissues were blocked in 1% BSA for 20 minutes at room temperature, washed with ddH2O and PBS, and then probed with the primary antibody (HA722777) at 1/2,000 dilution for 1 hour at room temperature. The detection was performed using an HRP conjugated compact polymer system. DAB was used as the chromogen. Tissues were counterstained with hematoxylin and mounted with DPX.
HA722777_10.jpg Fig10: Immunohistochemical analysis of paraffin-embedded human colon cancer tissue (negative) with Rabbit anti-PAX5 antibody (HA722777) at 1/2,000 dilution.

The section was pre-treated using heat mediated antigen retrieval with sodium citrate buffer (pH 6.0) (high pressure) for 2 minutes. The tissues were blocked in 1% BSA for 20 minutes at room temperature, washed with ddH2O and PBS, and then probed with the primary antibody (HA722777) at 1/2,000 dilution for 1 hour at room temperature. The detection was performed using an HRP conjugated compact polymer system. DAB was used as the chromogen. Tissues were counterstained with hematoxylin and mounted with DPX.
HA722777_11.jpg Fig11: Immunohistochemical analysis of paraffin-embedded human liver tissue (negative) with Rabbit anti-PAX5 antibody (HA722777) at 1/2,000 dilution.

The section was pre-treated using heat mediated antigen retrieval with sodium citrate buffer (pH 6.0) (high pressure) for 2 minutes. The tissues were blocked in 1% BSA for 20 minutes at room temperature, washed with ddH2O and PBS, and then probed with the primary antibody (HA722777) at 1/2,000 dilution for 1 hour at room temperature. The detection was performed using an HRP conjugated compact polymer system. DAB was used as the chromogen. Tissues were counterstained with hematoxylin and mounted with DPX.
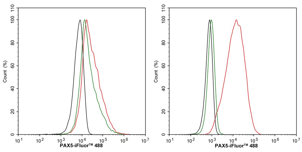
HA722777_12.jpg Fig12: Flow cytometric analysis of CTLL-2 (left, negative) and A20 (right, positive) cells labeling PAX5.

Cells were fixed and permeabilized. Then stained with the primary antibody (HA722777, 1μg/mL) (red) compared with Rabbit IgG Isotype Control (green). After incubation of the primary antibody at +4℃ for an hour, the cells were stained with a iFluor™ 488 conjugate-Goat anti-Rabbit IgG Secondary antibody (HA1121) at 1/1,000 dilution for 30 minutes at +4℃. Unlabelled sample was used as a control (cells without incubation with primary antibody; black).
Note: All products are “FOR RESEARCH USE ONLY AND ARE NOT INTENDED FOR DIAGNOSTIC OR THERAPEUTIC USE”.