TREX1 Recombinant Rabbit Monoclonal Antibody [PSH08-84]
cat.: HA723036
Product Type: Recombinant Rabbit monoclonal IgG, primary antibodies
Species reactivity: Mouse
Applications: WB, FC, IP
Clonality: Monoclonal
Clone number: PSH08-84
Form: Liquid
Storage condition: Shipped at 4℃. Store at +4℃ short term (1-2 weeks). It is recommended to aliquot into single-use upon delivery. Store at -20℃ long term.
Storage buffer: PBS (pH7.4), 0.1% BSA, 40% Glycerol. Preservative: 0.05% Sodium Azide.
Concentration: 1ug/ul
Purification: Protein A affinity purified.
Molecular weight: Predicted band size: 34 kDa
Isotype: IgG
Immunogen: Recombinant protein within mouse TREX1 aa 1-280.
Positive control: RAW264.7 cell lysate, CTLL-2 cell lysate, J774A.1 cell lysate, RAW264.7.
Subcellular location: Nucleus, Cytoplasm, cytosol, Endoplasmic reticulum membrane.
Recommended Dilutions:
  WB
  FC
  IP

1:2,000-1:5,000
1:1,000
1-2μg/sample
Uniprot #: SwissProt: Q91XB0 Mouse
Alternative names: 3' 5' exonuclease TREX1 3' repair exonuclease 1 AGS1 AGS5 CRV Deoxyribonuclease III, dnaQ/mutD (E. coli) like DKFZp434J0310 DNase III DRN3 HERNS Three prime repair exonuclease 1 TREX1
Images
HA723036_1.jpg Fig1: Western blot analysis of TREX1 on different lysates with Rabbit anti-TREX1 antibody (HA723036) at 1/5,000 dilution.

Lane 1: RAW264.7 cell lysate
Lane 2: CTLL-2 cell lysate
Lane 3: J774A.1 cell lysate
Lane 4: Neuro-2a cell lysate (negative)

Lysates/proteins at 20 µg/Lane.

Predicted band size: 34 kDa
Observed band size: 35 kDa

Exposure time: Lane 1: 25 seconds; Lane 2-4: 1 minute; ECL: K1801;

4-20% SDS-PAGE gel.

Proteins were transferred to a PVDF membrane and blocked with 5% NFDM/TBST for 1 hour at room temperature. The primary antibody (HA723036) at 1/5,000 dilution was used in 5% NFDM/TBST at 4℃ overnight. Goat Anti-Rabbit IgG - HRP Secondary Antibody (HA1001) at 1/50,000 dilution was used for 1 hour at room temperature.
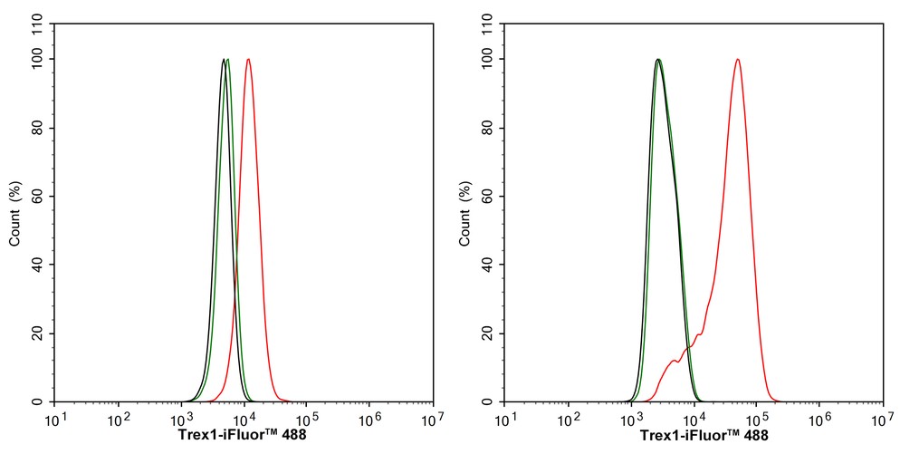
HA723036_2.jpg Fig2: Flow cytometric analysis of Neuro-2a (left, negative) and RAW264.7 (right, positive) cells labeling TREX1.

Cells were fixed and permeabilized. Then stained with the primary antibody (HA723036, 1/1,000) (red) compared with Rabbit IgG Isotype Control (green). After incubation of the primary antibody at +4℃ for an hour, the cells were stained with a iFluor™ 488 conjugate-Goat anti-Rabbit IgG Secondary antibody (HA1121) at 1/1,000 dilution for 30 minutes at +4℃. Unlabelled sample was used as a control (cells without incubation with primary antibody; black).
HA723036_3.jpg Fig3: TREX1 was immunoprecipitated from 0.2 mg RAW264.7 cell lysate with HA723036 at 2 µg/25 µl agarose. Western blot was performed from the immunoprecipitate using HA723036 at 1/1,000 dilution. Mouse anti Rabbit IgG heavy chain (Fc) secondary antibody (M1003-7) at 1/10,000 dilution was used for 1 hour at room temperature.

Lane 1: RAW264.7 cell lysate (input)
Lane 2: HA723036 IP in RAW264.7 cell lysate
Lane 3: Rabbit IgG instead of HA723036 in RAW264.7 cell lysate

Blocking/Dilution buffer: 5% NFDM/TBST
Exposure time: 16 seconds; ECL: K1801
Note: All products are “FOR RESEARCH USE ONLY AND ARE NOT INTENDED FOR DIAGNOSTIC OR THERAPEUTIC USE”.